Report Overview
Visitedpublic
2025-10-01 16:56:30
Tags
Submit Tags
URL
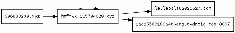
396883239.xyz/video_list/index4.html
Finishing URL
hmfmwk.115794629.xyz/video_list/index4.html
IP / ASN

172.67.162.51
Title
无码专区
Detections
urlquery
0
Network Intrusion Detection
0
Threat Detection Systems
2
Host Summary
| Host | Rank | Registered | First Seen | Last Seen | Sent | Received | IP | Fingerprints |
|---|---|---|---|---|---|---|---|---|
le.lebsltu2025627.com | 4482589 | 2025-06-27 | 2025-06-28 | 2025-09-30 | 2.5 kB | 568 kB | ![]() 172.66.150.70 | |
396883239.xyz 1 alert(s) on this Host | unknown | 2025-03-24 | 2025-10-01 | 2025-10-01 | 504 B | 48 kB | ![]() 172.67.162.51 | |
1ae25508186a486ddg.qydrcig.com 1 alert(s) on this Host | unknown | unknown | 2025-10-01 | 2025-10-01 | 447 B | 11 kB | ![]() 203.107.63.104 | |
hmfmwk.115794629.xyz | unknown | unknown | No data | No data | 5.2 kB | 1.1 MB | ![]() 172.67.131.58 |
Cloudflare (CDN)
Cloudflare is a web-infrastructure and website-security company, providing content-delivery-network services, DDoS mitigation, Internet security, and distributed domain-name-server services.Nginx:1.18.0 (Web servers, Reverse proxies)
Nginx is a web server that can also be used as a reverse proxy, load balancer, mail proxy and HTTP cache.PHP:5.6.31 (Programming languages)
PHP is a general-purpose scripting language used for web development.jQuery (JavaScript libraries)
jQuery is a JavaScript library which is a free, open-source software designed to simplify HTML DOM tree traversal and manipulation, as well as event handling, CSS animation, and Ajax.Related reports
Threat Detection Systems
| Detection System | Indicator | Verdict | Alert |
|---|---|---|---|
| CIRA Canadian Shield DNS | 396883239.xyz | malicious | Sinkholed |
| DNS0 Zero | 1ae25508186a486ddg.qydrcig.com | malicious | Sinkholed |
JavaScript (34)
| HASH | FROM | Size | First Seen | Last Seen | |
|---|---|---|---|---|---|
| 312b765dfc2ce07b300e313b6e1f258f | DocumentWrite | 29 B | 2025-05-29 | 2025-12-08 | |
Introduced by DocumentWrite First Seen 2025-05-29 Last Seen 2025-12-08 Times Seen 386 Size 29 B (29 bytes) MD5 312b765dfc2ce07b300e313b6e1f258f SHA1 f5a1107526bce59eba7d66f933b15b22dbeac6a7 Loading... | |||||
| 7215ee9c7d9dc229d2921a40e899ec5f | DocumentWrite | 1 B | 2023-03-07 | 2026-04-05 | |
Introduced by DocumentWrite First Seen 2023-03-07 Last Seen 2026-04-05 Times Seen 34343 Size 1 B (1 bytes) MD5 7215ee9c7d9dc229d2921a40e899ec5f SHA1 b858cb282617fb0956d960215c8e84d1ccf909c6 Loading... | |||||
| 4d1333d06681575863132b0e0d050ee1 | DocumentWrite | 77 B | 2025-09-19 | 2025-11-09 | |
Introduced by DocumentWrite First Seen 2025-09-19 Last Seen 2025-11-09 Times Seen 136 Size 77 B (77 bytes) MD5 4d1333d06681575863132b0e0d050ee1 SHA1 011dc9ca9ebf23fddd10fe0546f9b678461f999a Loading... | |||||
| c202710b835b12503282797d15030649 | DocumentWrite | 77 B | 2025-09-19 | 2025-11-09 | |
Introduced by DocumentWrite First Seen 2025-09-19 Last Seen 2025-11-09 Times Seen 136 Size 77 B (77 bytes) MD5 c202710b835b12503282797d15030649 SHA1 3f70815400c9dba4c6ef7e1ed45eb79577e03f7f Loading... | |||||
| 9c8d7749d91b2ff8b5d233343022ce0b | DocumentWrite | 77 B | 2025-09-19 | 2025-11-09 | |
Introduced by DocumentWrite First Seen 2025-09-19 Last Seen 2025-11-09 Times Seen 136 Size 77 B (77 bytes) MD5 9c8d7749d91b2ff8b5d233343022ce0b SHA1 b0e9ea81260e0280d0958db25f26054edd877e14 Loading... | |||||
| 0b4052603c8d0d074e7c7bc68e5e7005 | DocumentWrite | 77 B | 2025-09-19 | 2025-11-09 | |
Introduced by DocumentWrite First Seen 2025-09-19 Last Seen 2025-11-09 Times Seen 136 Size 77 B (77 bytes) MD5 0b4052603c8d0d074e7c7bc68e5e7005 SHA1 ddd9785ff7b84c9a56d946a1fea74f8b82599bf0 Loading... | |||||
| 91ce51372b34fcb8934da136dd6461ef | DocumentWrite | 81 B | 2025-09-19 | 2025-11-09 | |
Introduced by DocumentWrite First Seen 2025-09-19 Last Seen 2025-11-09 Times Seen 136 Size 81 B (81 bytes) MD5 91ce51372b34fcb8934da136dd6461ef SHA1 97d8f1a72237ce867305deb3c3ec6ac345c3a92e Loading... | |||||
| dbf0b3c4a4b220cce5ea7cb18660923a | DocumentWrite | 79 B | 2025-09-19 | 2025-11-09 | |
Introduced by DocumentWrite First Seen 2025-09-19 Last Seen 2025-11-09 Times Seen 136 Size 79 B (79 bytes) MD5 dbf0b3c4a4b220cce5ea7cb18660923a SHA1 4d9970e59483bb4b1c8ab4af19bdb3a38a5f22be Loading... | |||||
| 5c36d43169be3ba4f282218be6ad52f5 | DocumentWrite | 27 B | 2025-05-29 | 2025-12-08 | |
Introduced by DocumentWrite First Seen 2025-05-29 Last Seen 2025-12-08 Times Seen 386 Size 27 B (27 bytes) MD5 5c36d43169be3ba4f282218be6ad52f5 SHA1 9dfa90379800a25a08ecc97d650c3cd794bcaa12 Loading... | |||||
| 76b36a5e4f680588f909f376f1de6c0c | DocumentWrite | 77 B | 2025-09-19 | 2025-11-09 | |
Introduced by DocumentWrite First Seen 2025-09-19 Last Seen 2025-11-09 Times Seen 136 Size 77 B (77 bytes) MD5 76b36a5e4f680588f909f376f1de6c0c SHA1 49ab8fd0b697baef34e4462b27a5579d97d71084 Loading... | |||||
| f0d0870eab66a8c3b6333a4ece03bf9b | DocumentWrite | 81 B | 2025-09-19 | 2025-11-09 | |
Introduced by DocumentWrite First Seen 2025-09-19 Last Seen 2025-11-09 Times Seen 136 Size 81 B (81 bytes) MD5 f0d0870eab66a8c3b6333a4ece03bf9b SHA1 b9bc3defc3c3dc86d5eb7c72890f3195a29d8748 Loading... | |||||
| 82130bd0d66d2512b5a10cf589d9a0d8 | DocumentWrite | 77 B | 2025-09-19 | 2025-11-09 | |
Introduced by DocumentWrite First Seen 2025-09-19 Last Seen 2025-11-09 Times Seen 136 Size 77 B (77 bytes) MD5 82130bd0d66d2512b5a10cf589d9a0d8 SHA1 aae9ab9a96f2d189b059e03943bcf8606b4f2889 Loading... | |||||
| 6ccc53bbb0f293229244ab39b3c2e66d | DocumentWrite | 153 B | 2025-09-25 | 2025-10-13 | |
Introduced by DocumentWrite First Seen 2025-09-25 Last Seen 2025-10-13 Times Seen 80 Size 153 B (153 bytes) MD5 6ccc53bbb0f293229244ab39b3c2e66d SHA1 7e4bd243389838b8aced0e44e3a5b45fc5ce5283 Loading... | |||||
| c915a2f2e67ff7577e13cefdffd3ee21 | DocumentWrite | 4 B | 2023-03-07 | 2026-04-04 | |
Introduced by DocumentWrite First Seen 2023-03-07 Last Seen 2026-04-04 Times Seen 554 Size 4 B (4 bytes) MD5 c915a2f2e67ff7577e13cefdffd3ee21 SHA1 30c2f6467f10c307ccf18fb156ccb449362e639d Loading... | |||||
| 3e9d3dce500394136426fb6739ac2014 | DocumentWrite | 79 B | 2025-09-19 | 2025-11-09 | |
Introduced by DocumentWrite First Seen 2025-09-19 Last Seen 2025-11-09 Times Seen 136 Size 79 B (79 bytes) MD5 3e9d3dce500394136426fb6739ac2014 SHA1 580aa4c90cd37ade3f03074478512b85ba2830de Loading... | |||||
| 123dc5321af85cb64d3feea199601211 | DocumentWrite | 5 B | 2023-03-07 | 2026-04-04 | |
Introduced by DocumentWrite First Seen 2023-03-07 Last Seen 2026-04-04 Times Seen 1308 Size 5 B (5 bytes) MD5 123dc5321af85cb64d3feea199601211 SHA1 6887c1b72f02b402dd3c3a92cf5a530fdbf5e1e2 Loading... | |||||
| a376b4a636966e5d257863d0823b57dc | DocumentWrite | 77 B | 2025-09-19 | 2025-11-09 | |
Introduced by DocumentWrite First Seen 2025-09-19 Last Seen 2025-11-09 Times Seen 136 Size 77 B (77 bytes) MD5 a376b4a636966e5d257863d0823b57dc SHA1 f6b5d3812e2b541da00ff9bfc26a1a762595f580 Loading... | |||||
| 609a9f48446a34594003817e916b117e | DocumentWrite | 80 B | 2025-09-19 | 2025-11-09 | |
Introduced by DocumentWrite First Seen 2025-09-19 Last Seen 2025-11-09 Times Seen 136 Size 80 B (80 bytes) MD5 609a9f48446a34594003817e916b117e SHA1 7361863cf49828648a11a44c8f801877bae4437b Loading... | |||||
| d9657019a36a4e2ec8e5a03a11d2c28f | DocumentWrite | 152 B | 2025-09-19 | 2025-11-09 | |
Introduced by DocumentWrite First Seen 2025-09-19 Last Seen 2025-11-09 Times Seen 136 Size 152 B (152 bytes) MD5 d9657019a36a4e2ec8e5a03a11d2c28f SHA1 c591949b0139ca9c2794e8674a449d6e9a940d2f Loading... | |||||
| e4bcbe1b0e6bab786f7b0a0e38af89fd | DocumentWrite | 81 B | 2025-09-19 | 2025-11-09 | |
Introduced by DocumentWrite First Seen 2025-09-19 Last Seen 2025-11-09 Times Seen 136 Size 81 B (81 bytes) MD5 e4bcbe1b0e6bab786f7b0a0e38af89fd SHA1 a917cc3876312495b0eb3e94edaf9a57b984868a Loading... | |||||
| a94941a4120bf086ddfbec99315f2c94 | DocumentWrite | 81 B | 2025-09-19 | 2025-11-09 | |
Introduced by DocumentWrite First Seen 2025-09-19 Last Seen 2025-11-09 Times Seen 136 Size 81 B (81 bytes) MD5 a94941a4120bf086ddfbec99315f2c94 SHA1 e9b5e517e94f48f4cfa9a0855e8bc308b03584d8 Loading... | |||||
| 416974d13650663fa6f89a2d99187e03 | DocumentWrite | 77 B | 2025-09-19 | 2025-11-09 | |
Introduced by DocumentWrite First Seen 2025-09-19 Last Seen 2025-11-09 Times Seen 136 Size 77 B (77 bytes) MD5 416974d13650663fa6f89a2d99187e03 SHA1 1b58950861af9c48c7e407d3b4c0b418993d6509 Loading... | |||||
| 7384f25d5e0c4ea6ebe3d9e0bd351ece | DocumentWrite | 74 B | 2025-09-19 | 2025-11-09 | |
Introduced by DocumentWrite First Seen 2025-09-19 Last Seen 2025-11-09 Times Seen 136 Size 74 B (74 bytes) MD5 7384f25d5e0c4ea6ebe3d9e0bd351ece SHA1 23094b9ae43fc4f84dfafa1b56680fcdcf352a58 Loading... | |||||
| 9597df32a92f9ce6bec11eb6fa61872d | DocumentWrite | 153 B | 2025-09-19 | 2025-11-09 | |
Introduced by DocumentWrite First Seen 2025-09-19 Last Seen 2025-11-09 Times Seen 136 Size 153 B (153 bytes) MD5 9597df32a92f9ce6bec11eb6fa61872d SHA1 9716823ba54e04b094800ac947d1b01ef616677f Loading... | |||||
HTTP Transactions (18)
| URL | IP | Response | Size |
|---|
